族谱简介
陕西榆林谢氏族谱,1999年谢忠霖主编,1册。
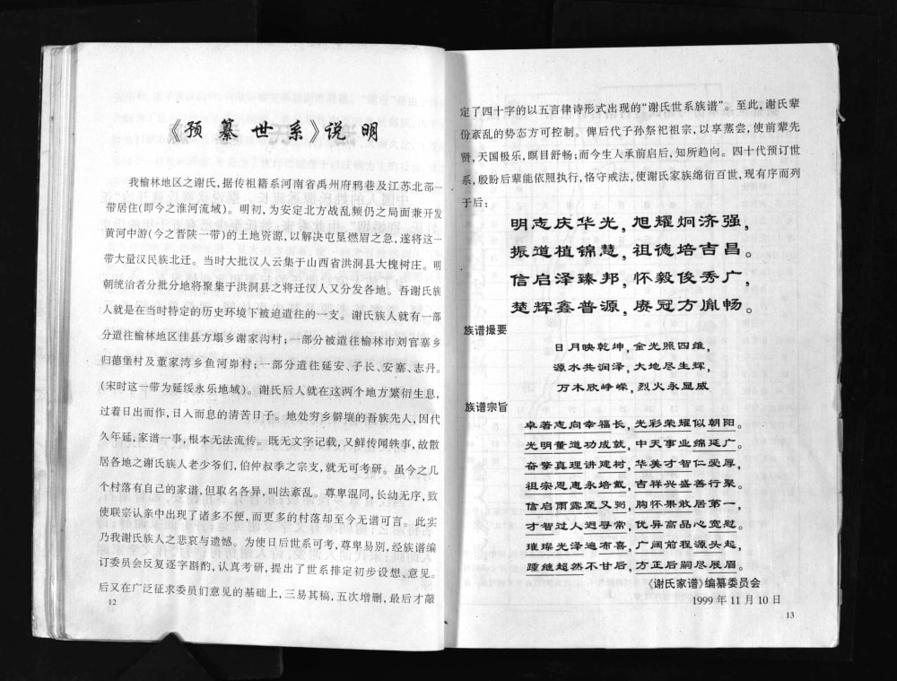
始迁祖谢龙因朝代更迭,当时战乱与饥荒的爆发与弟弟谢虎于明初由河南禹州鸦巷经山西洪洞县大槐树庄移居陕北。
此谱含谢氏散居于陕西榆林、延安,内蒙,宁夏,甘肃等省38个县市各支八世起世系。
新字辈 : 明志庆华光 旭耀炯济强 振道植锦慧 祖德培吉昌 信启泽臻邦 怀毅俊秀广 楚辉鑫普源 赓冠方胤畅
各村落辈份对照表详见族谱
族谱部分预览
![图片[1]-陕西榆林谢氏族谱电子版PDF下载-中华家谱网](https://cdn.lulugu.com/wp-content/uploads/2026/01/1efab382b25419a357b6da5fb962a8f6.webp)
![图片[2]-陕西榆林谢氏族谱电子版PDF下载-中华家谱网](https://cdn.lulugu.com/wp-content/uploads/2026/01/83aa391819ab6799f61ec60b8ed3014c.webp)
![图片[3]-陕西榆林谢氏族谱电子版PDF下载-中华家谱网](https://cdn.lulugu.com/wp-content/uploads/2026/01/b4d4749a3dbe664be2df9915c6bc98bf.webp)
![图片[4]-陕西榆林谢氏族谱电子版PDF下载-中华家谱网](https://cdn.lulugu.com/wp-content/uploads/2026/01/09015487237535ee0f35d730904b6abb.webp)
![图片[5]-陕西榆林谢氏族谱电子版PDF下载-中华家谱网](https://cdn.lulugu.com/wp-content/uploads/2026/01/7ef3971602ebc00ca1d1401e091dfe52.webp)
![图片[6]-陕西榆林谢氏族谱电子版PDF下载-中华家谱网](https://cdn.lulugu.com/wp-content/uploads/2026/01/48f8e6a2915d8af52e299cf92b1a2cff.webp)
![图片[7]-陕西榆林谢氏族谱电子版PDF下载-中华家谱网](https://cdn.lulugu.com/wp-content/uploads/2026/01/1eafb25abeb0dbc73cc09f8acfd5f37e.webp)
![图片[8]-陕西榆林谢氏族谱电子版PDF下载-中华家谱网](https://cdn.lulugu.com/wp-content/uploads/2026/01/cff1f91736149198e817a8a9f16ec948.webp)
电子版PDF下载
下载说明:1:强烈建议先注册
2:如果不想注册,那么浏览器不能是无痕模式
3:遇到问题,请联系页底微信
THE END

