族谱简介
山东即墨上庄姜氏族谱,敦睦堂,据咸丰二年本补修,世系记至2005年,3册。稿本。
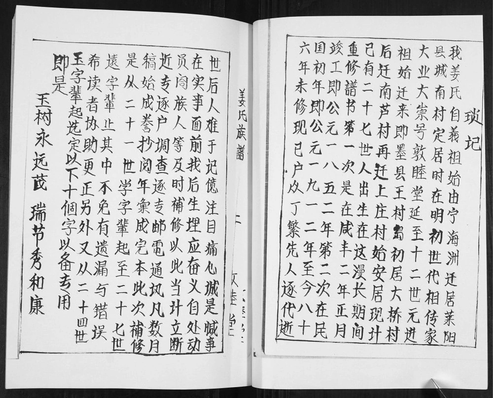
始祖姜义,明季由宁海洲迁居莱阳县城南村。十二世姜元进迁即墨县王村岛,初居大桥村,后迁南芦村,再迁上庄村。
字辈(二十四世起):玉树永远茂 瑞节秀和康
族谱部分预览
![图片[1]-山东即墨上庄姜氏族谱(敦睦堂)电子版PDF下载-中华家谱网](https://cdn.lulugu.com/wp-content/uploads/2025/11/48eb2ea180d39ec2b4d7dbd1bf85c74c.webp)
![图片[2]-山东即墨上庄姜氏族谱(敦睦堂)电子版PDF下载-中华家谱网](https://cdn.lulugu.com/wp-content/uploads/2025/11/b749d95898aab4c9db9a86dc456c6287.webp)
![图片[3]-山东即墨上庄姜氏族谱(敦睦堂)电子版PDF下载-中华家谱网](https://cdn.lulugu.com/wp-content/uploads/2025/11/505e615a068fe70398a1a84f779ba6ac.webp)
![图片[4]-山东即墨上庄姜氏族谱(敦睦堂)电子版PDF下载-中华家谱网](https://cdn.lulugu.com/wp-content/uploads/2025/11/0bdf6d07f0662f7da74d6e4d8f97cbb5.webp)
![图片[5]-山东即墨上庄姜氏族谱(敦睦堂)电子版PDF下载-中华家谱网](https://cdn.lulugu.com/wp-content/uploads/2025/11/b7e9de8af8d4c85033c20ed8148036e2.webp)
![图片[6]-山东即墨上庄姜氏族谱(敦睦堂)电子版PDF下载-中华家谱网](https://cdn.lulugu.com/wp-content/uploads/2025/11/0b214b5711c4c4eef945710e750b3c3c.webp)
![图片[7]-山东即墨上庄姜氏族谱(敦睦堂)电子版PDF下载-中华家谱网](https://cdn.lulugu.com/wp-content/uploads/2025/11/43a3da80564fc6d9dfb52451ea445558.webp)
![图片[8]-山东即墨上庄姜氏族谱(敦睦堂)电子版PDF下载-中华家谱网](https://cdn.lulugu.com/wp-content/uploads/2025/11/981eeec4084450bedeb16b8a112cf8dd.webp)
电子版PDF下载
下载说明:1:强烈建议先注册
2:如果不想注册,那么浏览器不能是无痕模式
3:遇到问题,请联系页底微信
THE END

族谱简介
山东即墨上庄姜氏族谱,敦睦堂,据咸丰二年本补修,世系记至2005年,3册。稿本。
始祖姜义,明季由宁海洲迁居莱阳县城南村。十二世姜元进迁即墨县王村岛,初居大桥村,后迁南芦村,再迁上庄村。
字辈(二十四世起):玉树永远茂 瑞节秀和康
族谱部分预览
![图片[1]-山东即墨上庄姜氏族谱(敦睦堂)电子版PDF下载-中华家谱网](https://cdn.lulugu.com/wp-content/uploads/2025/11/48eb2ea180d39ec2b4d7dbd1bf85c74c.webp)
![图片[2]-山东即墨上庄姜氏族谱(敦睦堂)电子版PDF下载-中华家谱网](https://cdn.lulugu.com/wp-content/uploads/2025/11/b749d95898aab4c9db9a86dc456c6287.webp)
![图片[3]-山东即墨上庄姜氏族谱(敦睦堂)电子版PDF下载-中华家谱网](https://cdn.lulugu.com/wp-content/uploads/2025/11/505e615a068fe70398a1a84f779ba6ac.webp)
![图片[4]-山东即墨上庄姜氏族谱(敦睦堂)电子版PDF下载-中华家谱网](https://cdn.lulugu.com/wp-content/uploads/2025/11/0bdf6d07f0662f7da74d6e4d8f97cbb5.webp)
![图片[5]-山东即墨上庄姜氏族谱(敦睦堂)电子版PDF下载-中华家谱网](https://cdn.lulugu.com/wp-content/uploads/2025/11/b7e9de8af8d4c85033c20ed8148036e2.webp)
![图片[6]-山东即墨上庄姜氏族谱(敦睦堂)电子版PDF下载-中华家谱网](https://cdn.lulugu.com/wp-content/uploads/2025/11/0b214b5711c4c4eef945710e750b3c3c.webp)
![图片[7]-山东即墨上庄姜氏族谱(敦睦堂)电子版PDF下载-中华家谱网](https://cdn.lulugu.com/wp-content/uploads/2025/11/43a3da80564fc6d9dfb52451ea445558.webp)
![图片[8]-山东即墨上庄姜氏族谱(敦睦堂)电子版PDF下载-中华家谱网](https://cdn.lulugu.com/wp-content/uploads/2025/11/981eeec4084450bedeb16b8a112cf8dd.webp)
电子版PDF下载
下载说明: