宗谱简介
山东聊城刁氏宗谱,怀恩堂,2014年刁立春等纂修,1册。
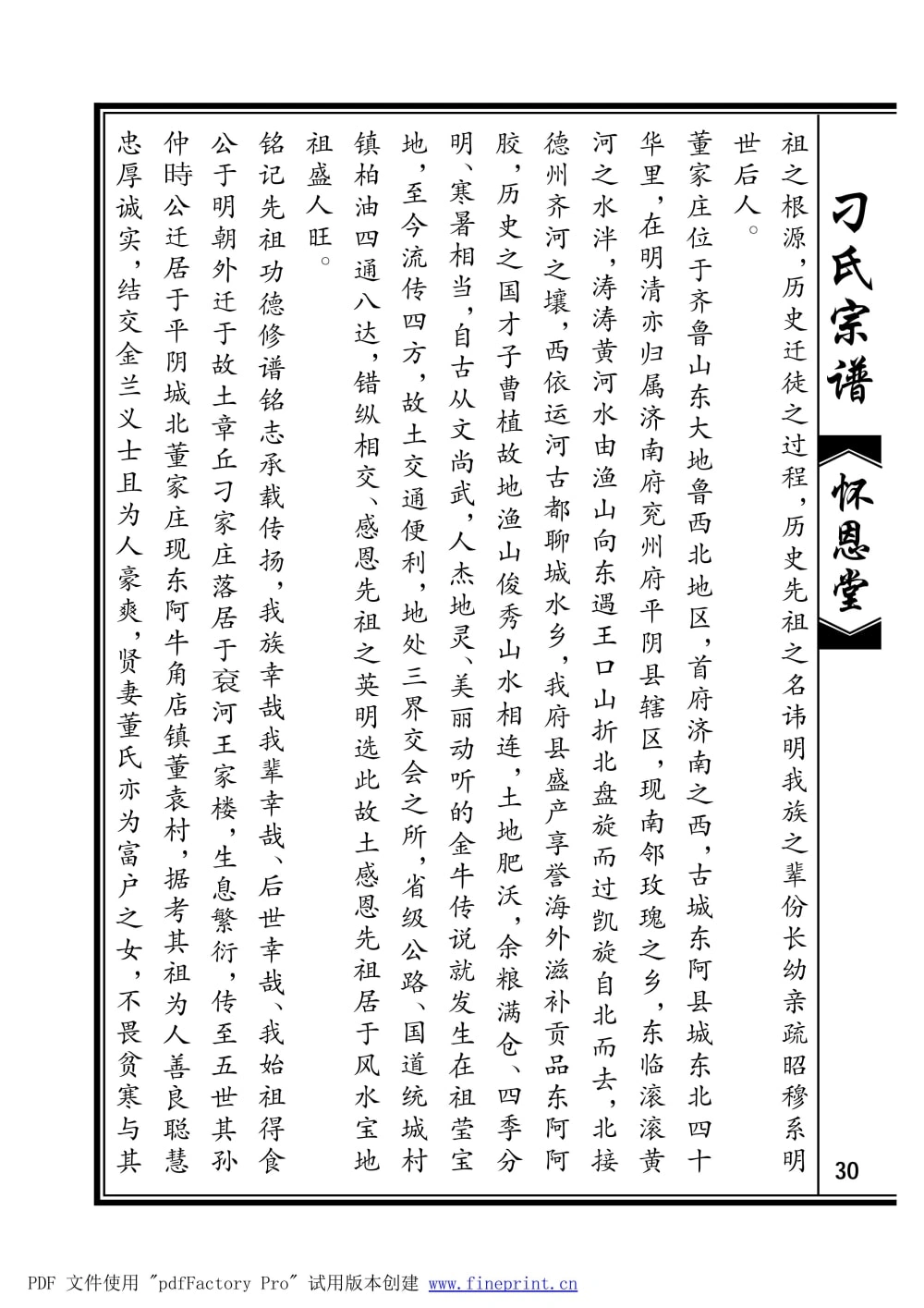
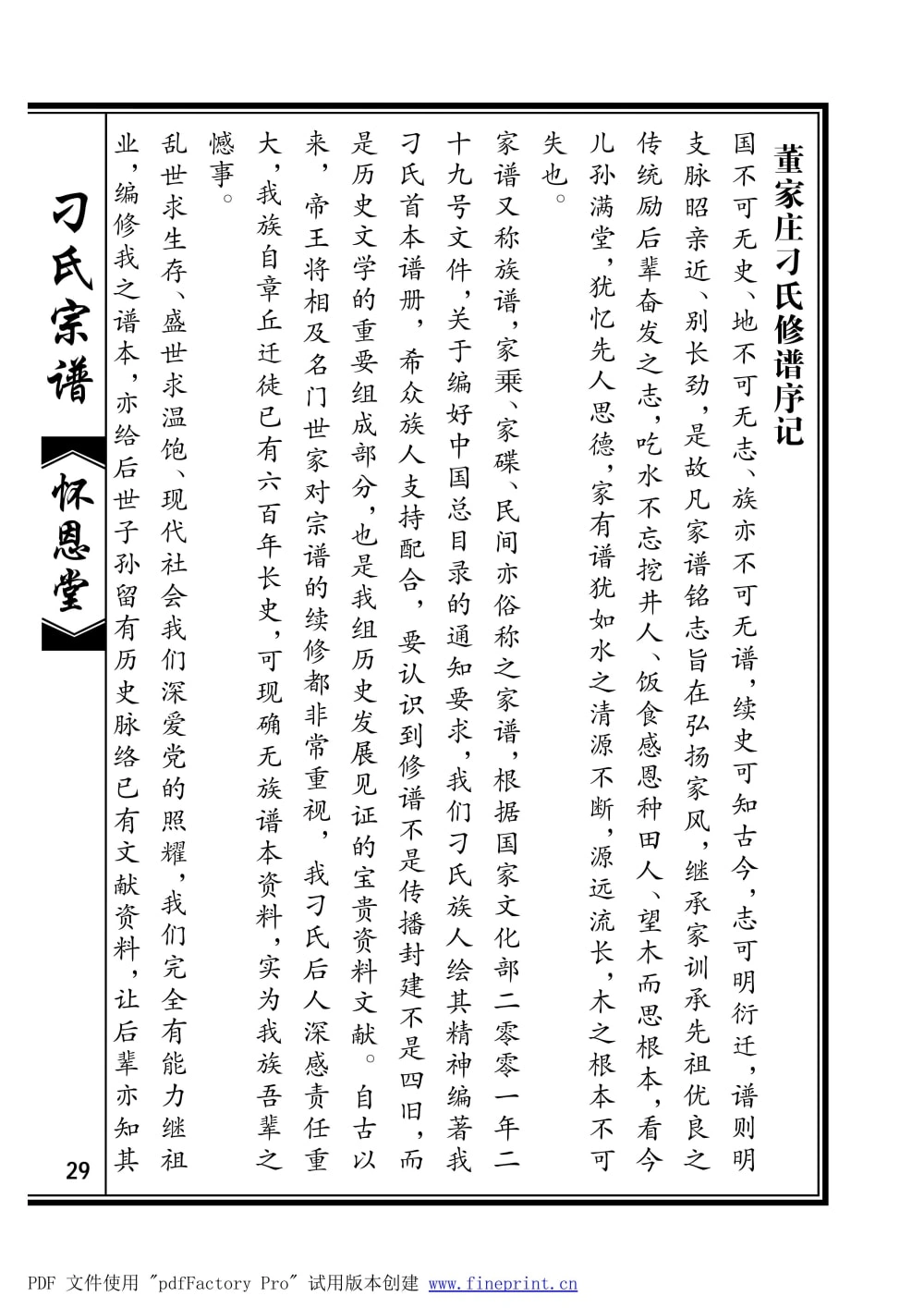
该族于明初迁至章丘,后因变故,分外迁转。本支始祖刁得食,迁居肥邑王家楼。越五世,刁仲时迁至平阴城北董家庄(现东阿牛角店镇董袁村),为始迁祖。
宗谱部分预览
![图片[1]-山东聊城刁氏宗谱(怀恩堂)电子版PDF下载-中华家谱网](https://cdn.lulugu.com/wp-content/uploads/2026/01/aba9d9d9ad0b6c9d8024dfb77f0823e4.webp)
![图片[2]-山东聊城刁氏宗谱(怀恩堂)电子版PDF下载-中华家谱网](https://cdn.lulugu.com/wp-content/uploads/2026/01/1b2ea399efb30e5e3d08b3ba2db3ad6f.webp)
![图片[3]-山东聊城刁氏宗谱(怀恩堂)电子版PDF下载-中华家谱网](https://cdn.lulugu.com/wp-content/uploads/2026/01/686df2a6c07d7f36cb8b82f88b0f9ce9.webp)
![图片[4]-山东聊城刁氏宗谱(怀恩堂)电子版PDF下载-中华家谱网](https://cdn.lulugu.com/wp-content/uploads/2026/01/e2257cc9b78b4543a2f3b615165672c5.webp)
![图片[5]-山东聊城刁氏宗谱(怀恩堂)电子版PDF下载-中华家谱网](https://cdn.lulugu.com/wp-content/uploads/2026/01/92c73ec0fc10ff758a450eddac1709b0.webp)
![图片[6]-山东聊城刁氏宗谱(怀恩堂)电子版PDF下载-中华家谱网](https://cdn.lulugu.com/wp-content/uploads/2026/01/fed9dddd7ab26e9ceeeae621d26d8b4a.webp)
![图片[7]-山东聊城刁氏宗谱(怀恩堂)电子版PDF下载-中华家谱网](https://cdn.lulugu.com/wp-content/uploads/2026/01/0d5cbd959c90a01f80875157c3c51000.webp)
![图片[8]-山东聊城刁氏宗谱(怀恩堂)电子版PDF下载-中华家谱网](https://cdn.lulugu.com/wp-content/uploads/2026/01/f7bc8fc408a3658f54af956e11294eb4.webp)
电子版PDF下载
下载说明:1:强烈建议先注册
2:如果不想注册,那么浏览器不能是无痕模式
3:遇到问题,请联系页底微信
THE END

宗谱简介
山东聊城刁氏宗谱,怀恩堂,2014年刁立春等纂修,1册。
该族于明初迁至章丘,后因变故,分外迁转。本支始祖刁得食,迁居肥邑王家楼。越五世,刁仲时迁至平阴城北董家庄(现东阿牛角店镇董袁村),为始迁祖。
宗谱部分预览
![图片[1]-山东聊城刁氏宗谱(怀恩堂)电子版PDF下载-中华家谱网](https://cdn.lulugu.com/wp-content/uploads/2026/01/aba9d9d9ad0b6c9d8024dfb77f0823e4.webp)
![图片[2]-山东聊城刁氏宗谱(怀恩堂)电子版PDF下载-中华家谱网](https://cdn.lulugu.com/wp-content/uploads/2026/01/1b2ea399efb30e5e3d08b3ba2db3ad6f.webp)
![图片[3]-山东聊城刁氏宗谱(怀恩堂)电子版PDF下载-中华家谱网](https://cdn.lulugu.com/wp-content/uploads/2026/01/686df2a6c07d7f36cb8b82f88b0f9ce9.webp)
![图片[4]-山东聊城刁氏宗谱(怀恩堂)电子版PDF下载-中华家谱网](https://cdn.lulugu.com/wp-content/uploads/2026/01/e2257cc9b78b4543a2f3b615165672c5.webp)
![图片[5]-山东聊城刁氏宗谱(怀恩堂)电子版PDF下载-中华家谱网](https://cdn.lulugu.com/wp-content/uploads/2026/01/92c73ec0fc10ff758a450eddac1709b0.webp)
![图片[6]-山东聊城刁氏宗谱(怀恩堂)电子版PDF下载-中华家谱网](https://cdn.lulugu.com/wp-content/uploads/2026/01/fed9dddd7ab26e9ceeeae621d26d8b4a.webp)
![图片[7]-山东聊城刁氏宗谱(怀恩堂)电子版PDF下载-中华家谱网](https://cdn.lulugu.com/wp-content/uploads/2026/01/0d5cbd959c90a01f80875157c3c51000.webp)
![图片[8]-山东聊城刁氏宗谱(怀恩堂)电子版PDF下载-中华家谱网](https://cdn.lulugu.com/wp-content/uploads/2026/01/f7bc8fc408a3658f54af956e11294eb4.webp)
电子版PDF下载
下载说明: