宗谱简介
江苏淮安淮阴区程氏宗谱,显承堂,2001年程礼文等纂修,1册。
清朝时期,始迁祖程思运(字宰臣),从安徽省黄山市歙县岑山渡自然村迁到江苏省淮安市淮阴区徐溜镇江桥村。
宗谱部分预览
![图片[1]-江苏淮安淮阴区程氏宗谱(显承堂)电子版PDF下载-中华家谱网](https://cdn.lulugu.com/wp-content/uploads/2026/04/48ffc7e9c13eb83ae5f78720c8a5c3bb.webp)
![图片[2]-江苏淮安淮阴区程氏宗谱(显承堂)电子版PDF下载-中华家谱网](https://cdn.lulugu.com/wp-content/uploads/2026/04/c015d7fc38c5bdf83a27958a6f14815f.webp)
![图片[3]-江苏淮安淮阴区程氏宗谱(显承堂)电子版PDF下载-中华家谱网](https://cdn.lulugu.com/wp-content/uploads/2026/04/efdccb2fdc7f40f2a49c90892a0c8dfb.webp)
![图片[4]-江苏淮安淮阴区程氏宗谱(显承堂)电子版PDF下载-中华家谱网](https://cdn.lulugu.com/wp-content/uploads/2026/04/b7696f24b3990a691b3933fe59aa7231.webp)
![图片[5]-江苏淮安淮阴区程氏宗谱(显承堂)电子版PDF下载-中华家谱网](https://cdn.lulugu.com/wp-content/uploads/2026/04/46b1b49359e78e21b54cd34c3a483687.webp)
![图片[6]-江苏淮安淮阴区程氏宗谱(显承堂)电子版PDF下载-中华家谱网](https://cdn.lulugu.com/wp-content/uploads/2026/04/1c09072ec64f24480d8cccd9df87849b.webp)
![图片[7]-江苏淮安淮阴区程氏宗谱(显承堂)电子版PDF下载-中华家谱网](https://cdn.lulugu.com/wp-content/uploads/2026/04/d69a6d448884d59a67cc476e8a487402.webp)
![图片[8]-江苏淮安淮阴区程氏宗谱(显承堂)电子版PDF下载-中华家谱网](https://cdn.lulugu.com/wp-content/uploads/2026/04/da0fa21353f08bfb63103425bac326db.webp)
电子版PDF网盘下载
下载说明:1:强烈建议先注册
2:如果不想注册,那么浏览器不能是无痕模式
3:遇到问题,请联系页底微信
THE END

宗谱简介
江苏淮安淮阴区程氏宗谱,显承堂,2001年程礼文等纂修,1册。
清朝时期,始迁祖程思运(字宰臣),从安徽省黄山市歙县岑山渡自然村迁到江苏省淮安市淮阴区徐溜镇江桥村。
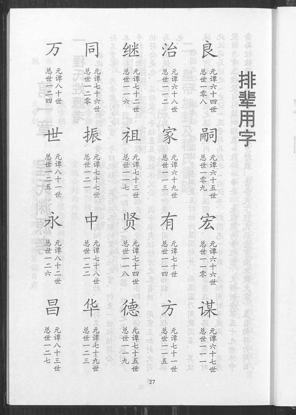
宗谱部分预览
![图片[1]-江苏淮安淮阴区程氏宗谱(显承堂)电子版PDF下载-中华家谱网](https://cdn.lulugu.com/wp-content/uploads/2026/04/48ffc7e9c13eb83ae5f78720c8a5c3bb.webp)
![图片[2]-江苏淮安淮阴区程氏宗谱(显承堂)电子版PDF下载-中华家谱网](https://cdn.lulugu.com/wp-content/uploads/2026/04/c015d7fc38c5bdf83a27958a6f14815f.webp)
![图片[3]-江苏淮安淮阴区程氏宗谱(显承堂)电子版PDF下载-中华家谱网](https://cdn.lulugu.com/wp-content/uploads/2026/04/efdccb2fdc7f40f2a49c90892a0c8dfb.webp)
![图片[4]-江苏淮安淮阴区程氏宗谱(显承堂)电子版PDF下载-中华家谱网](https://cdn.lulugu.com/wp-content/uploads/2026/04/b7696f24b3990a691b3933fe59aa7231.webp)
![图片[5]-江苏淮安淮阴区程氏宗谱(显承堂)电子版PDF下载-中华家谱网](https://cdn.lulugu.com/wp-content/uploads/2026/04/46b1b49359e78e21b54cd34c3a483687.webp)
![图片[6]-江苏淮安淮阴区程氏宗谱(显承堂)电子版PDF下载-中华家谱网](https://cdn.lulugu.com/wp-content/uploads/2026/04/1c09072ec64f24480d8cccd9df87849b.webp)
![图片[7]-江苏淮安淮阴区程氏宗谱(显承堂)电子版PDF下载-中华家谱网](https://cdn.lulugu.com/wp-content/uploads/2026/04/d69a6d448884d59a67cc476e8a487402.webp)
![图片[8]-江苏淮安淮阴区程氏宗谱(显承堂)电子版PDF下载-中华家谱网](https://cdn.lulugu.com/wp-content/uploads/2026/04/da0fa21353f08bfb63103425bac326db.webp)
电子版PDF网盘下载
下载说明: