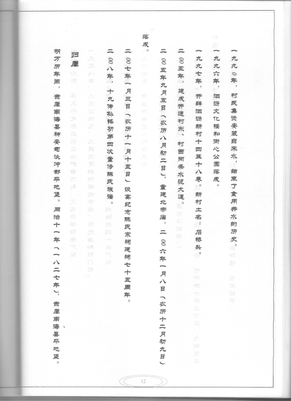
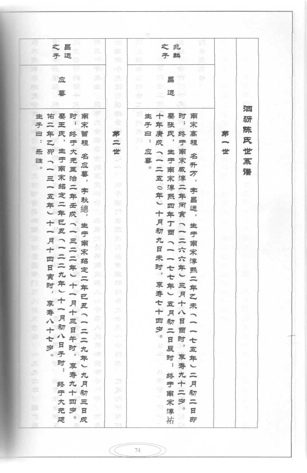
族谱简介
广东佛山南海区泗沥陈氏族谱,2008年陈铭功纂修,1册。
始祖陈升万,字昌远,宋时人。始迁祖陈淮泗,字云隐,又字悦闲,明季由惠州归善县迁佛山南海区,开基泗沥村。
族谱部分预览
![图片[1]-广东佛山南海区泗沥陈氏族谱电子版PDF下载-中华家谱网](https://cdn.lulugu.com/wp-content/uploads/2025/11/081a0e8d3e15a95600f3c06456229db8.webp)
![图片[2]-广东佛山南海区泗沥陈氏族谱电子版PDF下载-中华家谱网](https://cdn.lulugu.com/wp-content/uploads/2025/11/64cbbc37808974b4909b224f9c6cfa30.webp)
![图片[3]-广东佛山南海区泗沥陈氏族谱电子版PDF下载-中华家谱网](https://cdn.lulugu.com/wp-content/uploads/2025/11/3f18360f16c05c489a961a787aefc462.webp)
![图片[4]-广东佛山南海区泗沥陈氏族谱电子版PDF下载-中华家谱网](https://cdn.lulugu.com/wp-content/uploads/2025/11/2e1f9dd60d4ebaefbf00165ea53c3242.webp)
![图片[5]-广东佛山南海区泗沥陈氏族谱电子版PDF下载-中华家谱网](https://cdn.lulugu.com/wp-content/uploads/2025/11/4530c81eefb45f64f9551eb9b0f8f181.webp)
![图片[6]-广东佛山南海区泗沥陈氏族谱电子版PDF下载-中华家谱网](https://cdn.lulugu.com/wp-content/uploads/2025/11/f59e18f5c67b34df7475a4dfbf1337a9.webp)
![图片[7]-广东佛山南海区泗沥陈氏族谱电子版PDF下载-中华家谱网](https://cdn.lulugu.com/wp-content/uploads/2025/11/c384ed3cbe829029b9c14891c8555d20.webp)
![图片[8]-广东佛山南海区泗沥陈氏族谱电子版PDF下载-中华家谱网](https://cdn.lulugu.com/wp-content/uploads/2025/11/8a467bd416867dc1e9c7bdb553ba9bc4.webp)
电子版PDF下载
下载说明:1:强烈建议先注册
2:如果不想注册,那么浏览器不能是无痕模式
3:遇到问题,请联系页底微信
THE END

族谱简介
广东佛山南海区泗沥陈氏族谱,2008年陈铭功纂修,1册。
始祖陈升万,字昌远,宋时人。始迁祖陈淮泗,字云隐,又字悦闲,明季由惠州归善县迁佛山南海区,开基泗沥村。
族谱部分预览
![图片[1]-广东佛山南海区泗沥陈氏族谱电子版PDF下载-中华家谱网](https://cdn.lulugu.com/wp-content/uploads/2025/11/081a0e8d3e15a95600f3c06456229db8.webp)
![图片[2]-广东佛山南海区泗沥陈氏族谱电子版PDF下载-中华家谱网](https://cdn.lulugu.com/wp-content/uploads/2025/11/64cbbc37808974b4909b224f9c6cfa30.webp)
![图片[3]-广东佛山南海区泗沥陈氏族谱电子版PDF下载-中华家谱网](https://cdn.lulugu.com/wp-content/uploads/2025/11/3f18360f16c05c489a961a787aefc462.webp)
![图片[4]-广东佛山南海区泗沥陈氏族谱电子版PDF下载-中华家谱网](https://cdn.lulugu.com/wp-content/uploads/2025/11/2e1f9dd60d4ebaefbf00165ea53c3242.webp)
![图片[5]-广东佛山南海区泗沥陈氏族谱电子版PDF下载-中华家谱网](https://cdn.lulugu.com/wp-content/uploads/2025/11/4530c81eefb45f64f9551eb9b0f8f181.webp)
![图片[6]-广东佛山南海区泗沥陈氏族谱电子版PDF下载-中华家谱网](https://cdn.lulugu.com/wp-content/uploads/2025/11/f59e18f5c67b34df7475a4dfbf1337a9.webp)
![图片[7]-广东佛山南海区泗沥陈氏族谱电子版PDF下载-中华家谱网](https://cdn.lulugu.com/wp-content/uploads/2025/11/c384ed3cbe829029b9c14891c8555d20.webp)
![图片[8]-广东佛山南海区泗沥陈氏族谱电子版PDF下载-中华家谱网](https://cdn.lulugu.com/wp-content/uploads/2025/11/8a467bd416867dc1e9c7bdb553ba9bc4.webp)
电子版PDF下载
下载说明: