族谱简介
福建厦门翔安区内厝镇萧山许氏族谱,2004年许嘉立主编,1册。
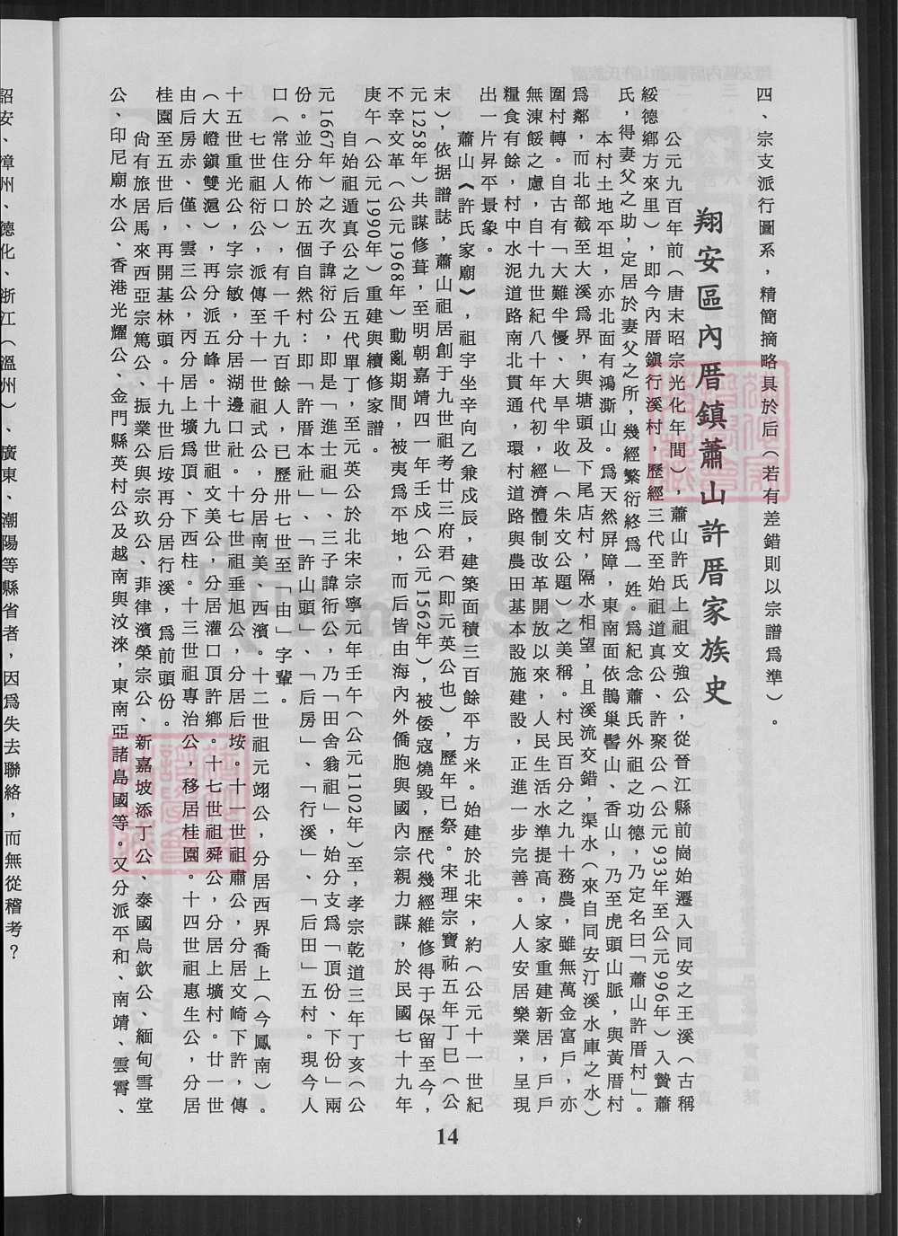
入闽始祖许爱,唐代人。萧山始迁祖许聚,宋朝时由晋江围头前岗迁于王溪,后再迁翔安萧山。
族谱部分预览
![图片[1]-福建厦门翔安区内厝镇萧山许氏族谱电子版PDF下载-中华家谱网](https://cdn.lulugu.com/wp-content/uploads/2025/12/260d2f9e59022a4feabc0e2ab71ae3b8.webp)
![图片[2]-福建厦门翔安区内厝镇萧山许氏族谱电子版PDF下载-中华家谱网](https://cdn.lulugu.com/wp-content/uploads/2025/12/954c867ac34d1ee7c15cfa11cc7cb288.webp)
![图片[3]-福建厦门翔安区内厝镇萧山许氏族谱电子版PDF下载-中华家谱网](https://cdn.lulugu.com/wp-content/uploads/2025/12/21e2fe9f7595bf7558bd0eae9ff43430.webp)
![图片[4]-福建厦门翔安区内厝镇萧山许氏族谱电子版PDF下载-中华家谱网](https://cdn.lulugu.com/wp-content/uploads/2025/12/d4b9c21f6e4b44364ab43fb1532c3502.webp)
![图片[5]-福建厦门翔安区内厝镇萧山许氏族谱电子版PDF下载-中华家谱网](https://cdn.lulugu.com/wp-content/uploads/2025/12/50dc9574e74505576aea85dcbe3e4777.webp)
![图片[6]-福建厦门翔安区内厝镇萧山许氏族谱电子版PDF下载-中华家谱网](https://cdn.lulugu.com/wp-content/uploads/2025/12/53bd7e69f281978db7228802968ae5be.webp)
![图片[7]-福建厦门翔安区内厝镇萧山许氏族谱电子版PDF下载-中华家谱网](https://cdn.lulugu.com/wp-content/uploads/2025/12/945d8098fdb36706dba5fd1e50fe4c40.webp)
![图片[8]-福建厦门翔安区内厝镇萧山许氏族谱电子版PDF下载-中华家谱网](https://cdn.lulugu.com/wp-content/uploads/2025/12/f3baada6723bd266da6209cdf105fe96.webp)
电子版PDF下载
下载说明:1:强烈建议先注册
2:如果不想注册,那么浏览器不能是无痕模式
3:遇到问题,请联系页底微信
THE END

族谱简介
福建厦门翔安区内厝镇萧山许氏族谱,2004年许嘉立主编,1册。
入闽始祖许爱,唐代人。萧山始迁祖许聚,宋朝时由晋江围头前岗迁于王溪,后再迁翔安萧山。
族谱部分预览
![图片[1]-福建厦门翔安区内厝镇萧山许氏族谱电子版PDF下载-中华家谱网](https://cdn.lulugu.com/wp-content/uploads/2025/12/260d2f9e59022a4feabc0e2ab71ae3b8.webp)
![图片[2]-福建厦门翔安区内厝镇萧山许氏族谱电子版PDF下载-中华家谱网](https://cdn.lulugu.com/wp-content/uploads/2025/12/954c867ac34d1ee7c15cfa11cc7cb288.webp)
![图片[3]-福建厦门翔安区内厝镇萧山许氏族谱电子版PDF下载-中华家谱网](https://cdn.lulugu.com/wp-content/uploads/2025/12/21e2fe9f7595bf7558bd0eae9ff43430.webp)
![图片[4]-福建厦门翔安区内厝镇萧山许氏族谱电子版PDF下载-中华家谱网](https://cdn.lulugu.com/wp-content/uploads/2025/12/d4b9c21f6e4b44364ab43fb1532c3502.webp)
![图片[5]-福建厦门翔安区内厝镇萧山许氏族谱电子版PDF下载-中华家谱网](https://cdn.lulugu.com/wp-content/uploads/2025/12/50dc9574e74505576aea85dcbe3e4777.webp)
![图片[6]-福建厦门翔安区内厝镇萧山许氏族谱电子版PDF下载-中华家谱网](https://cdn.lulugu.com/wp-content/uploads/2025/12/53bd7e69f281978db7228802968ae5be.webp)
![图片[7]-福建厦门翔安区内厝镇萧山许氏族谱电子版PDF下载-中华家谱网](https://cdn.lulugu.com/wp-content/uploads/2025/12/945d8098fdb36706dba5fd1e50fe4c40.webp)
![图片[8]-福建厦门翔安区内厝镇萧山许氏族谱电子版PDF下载-中华家谱网](https://cdn.lulugu.com/wp-content/uploads/2025/12/f3baada6723bd266da6209cdf105fe96.webp)
电子版PDF下载
下载说明: