族谱简介
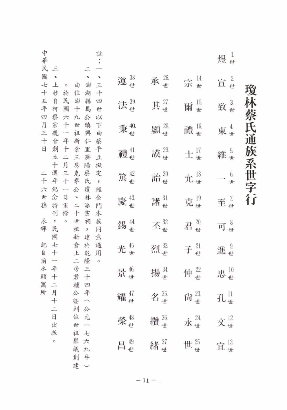
福建泉州金门县琼林蔡氏前水头支派族谱,济阳堂,1987年蔡世民编修,1册。
始迁祖十七郎,原世居福建大田县许坑村,家境贫穷入赘到平林陈氏,后定居金城(今隶属于福建省泉州市金门县金城镇)。
族谱部分预览
![图片[1]-福建泉州金门县琼林蔡氏前水头支派族谱(济阳堂)电子版PDF下载-中华家谱网](https://cdn.lulugu.com/wp-content/uploads/2025/12/c5ffc79f124949508987121a8e2d1f2e.webp)
![图片[2]-福建泉州金门县琼林蔡氏前水头支派族谱(济阳堂)电子版PDF下载-中华家谱网](https://cdn.lulugu.com/wp-content/uploads/2025/12/7bf0f2881f6a80b2f58da54170139f9e.webp)
![图片[3]-福建泉州金门县琼林蔡氏前水头支派族谱(济阳堂)电子版PDF下载-中华家谱网](https://cdn.lulugu.com/wp-content/uploads/2025/12/0e38fa30ad355977ac13b45915616010.webp)
![图片[4]-福建泉州金门县琼林蔡氏前水头支派族谱(济阳堂)电子版PDF下载-中华家谱网](https://cdn.lulugu.com/wp-content/uploads/2025/12/4f3d86cb0345e54ad942c39e190d9d09.webp)
![图片[5]-福建泉州金门县琼林蔡氏前水头支派族谱(济阳堂)电子版PDF下载-中华家谱网](https://cdn.lulugu.com/wp-content/uploads/2025/12/5447cdbbbc4b3b2125925161b5c53143.webp)
![图片[6]-福建泉州金门县琼林蔡氏前水头支派族谱(济阳堂)电子版PDF下载-中华家谱网](https://cdn.lulugu.com/wp-content/uploads/2025/12/0ad7ff02eaef27c955f430e5e1a2f905.webp)
![图片[7]-福建泉州金门县琼林蔡氏前水头支派族谱(济阳堂)电子版PDF下载-中华家谱网](https://cdn.lulugu.com/wp-content/uploads/2025/12/96f8d61063d8f34b4a2686c5db3a12db.webp)
![图片[8]-福建泉州金门县琼林蔡氏前水头支派族谱(济阳堂)电子版PDF下载-中华家谱网](https://cdn.lulugu.com/wp-content/uploads/2025/12/1bf51d3ff3033e7b42e7a019f72ea893.webp)
电子版PDF下载
下载说明:1:强烈建议先注册
2:如果不想注册,那么浏览器不能是无痕模式
3:遇到问题,请联系页底微信
THE END

族谱简介
福建泉州金门县琼林蔡氏前水头支派族谱,济阳堂,1987年蔡世民编修,1册。
始迁祖十七郎,原世居福建大田县许坑村,家境贫穷入赘到平林陈氏,后定居金城(今隶属于福建省泉州市金门县金城镇)。
族谱部分预览
![图片[1]-福建泉州金门县琼林蔡氏前水头支派族谱(济阳堂)电子版PDF下载-中华家谱网](https://cdn.lulugu.com/wp-content/uploads/2025/12/c5ffc79f124949508987121a8e2d1f2e.webp)
![图片[2]-福建泉州金门县琼林蔡氏前水头支派族谱(济阳堂)电子版PDF下载-中华家谱网](https://cdn.lulugu.com/wp-content/uploads/2025/12/7bf0f2881f6a80b2f58da54170139f9e.webp)
![图片[3]-福建泉州金门县琼林蔡氏前水头支派族谱(济阳堂)电子版PDF下载-中华家谱网](https://cdn.lulugu.com/wp-content/uploads/2025/12/0e38fa30ad355977ac13b45915616010.webp)
![图片[4]-福建泉州金门县琼林蔡氏前水头支派族谱(济阳堂)电子版PDF下载-中华家谱网](https://cdn.lulugu.com/wp-content/uploads/2025/12/4f3d86cb0345e54ad942c39e190d9d09.webp)
![图片[5]-福建泉州金门县琼林蔡氏前水头支派族谱(济阳堂)电子版PDF下载-中华家谱网](https://cdn.lulugu.com/wp-content/uploads/2025/12/5447cdbbbc4b3b2125925161b5c53143.webp)
![图片[6]-福建泉州金门县琼林蔡氏前水头支派族谱(济阳堂)电子版PDF下载-中华家谱网](https://cdn.lulugu.com/wp-content/uploads/2025/12/0ad7ff02eaef27c955f430e5e1a2f905.webp)
![图片[7]-福建泉州金门县琼林蔡氏前水头支派族谱(济阳堂)电子版PDF下载-中华家谱网](https://cdn.lulugu.com/wp-content/uploads/2025/12/96f8d61063d8f34b4a2686c5db3a12db.webp)
![图片[8]-福建泉州金门县琼林蔡氏前水头支派族谱(济阳堂)电子版PDF下载-中华家谱网](https://cdn.lulugu.com/wp-content/uploads/2025/12/1bf51d3ff3033e7b42e7a019f72ea893.webp)
电子版PDF下载
下载说明: